05.04.2016 Неожиданная работа временной части компенсатора

Материал из SRNS
Перейти к: навигация, поиск
(Новая страница: «<summary [ hidden ] > center Баг или фича?! Выясняем причину различия в к…»)
 
Строка 1: Строка 1:
 
<summary [ hidden ] >
 
<summary [ hidden ] >
  
[[File:20160405_JS_test_diff_harm_band.png|400px|center]]
+
[[File:20160405_JS_test_diff_harm_band_upd.png|400px|center]]
  
 
Баг или фича?!
 
Баг или фича?!
Строка 13: Строка 13:
 
== Что происходит? ==
 
== Что происходит? ==
  
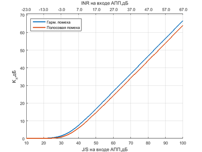
Получили две зависимости коэффициента подавления от уровня помехи. Слева - ПОС, справа - ПВОС при 10 отводах во времени. Синяя линия - гармоническая помеха, красная - полосовая.
+
Получили две зависимости коэффициента подавления от уровня помехи. Слева - ПОС, справа - ПВОС при 10 отводах во времени.
  
[[File:20160405_JS_test_diff_harm_band_SAP.png|400px]] [[File:20160405_JS_test_diff_harm_band.png|400px]]
+
[[File:20160405_JS_test_diff_harm_band_SAP_upd.png|400px]] [[File:20160405_JS_test_diff_harm_band_upd.png|400px]]
  
 
Как видим, гармоническая помеха при ПВОС давится ~2дБ больше, чем полосовая. Посмотрим спектры.
 
Как видим, гармоническая помеха при ПВОС давится ~2дБ больше, чем полосовая. Посмотрим спектры.

Версия 13:58, 5 апреля 2016

Исходные данные

Моделируется двухантенный подавитель помех с ПОС и ПВОС. Метод комплексных амплитуд при частоте дискретизации 20МГц, с стандартными уровнями шума и сигнала. Отсутствуют какие либо декоррелирующие факторы.

Что происходит?

Получили две зависимости коэффициента подавления от уровня помехи. Слева - ПОС, справа - ПВОС при 10 отводах во времени.

20160405 JS test diff harm band SAP upd.png 20160405 JS test diff harm band upd.png

Как видим, гармоническая помеха при ПВОС давится ~2дБ больше, чем полосовая. Посмотрим спектры.

20160405 JS 100dB NF out harm Nbr 10.png 20160405 JS 100dB NF out band Nbr 10.png

Обе помехи давятся до уровня шума, но мощность шума в этих случаях отличается на те же ~2дБ. Почему? Теория говорит, что для ПОС алгоритма при двух каналах мощность шума на выходе компенсатора должна быть на 3дБ больше, чем на входе. Для полосовой помехи это выполняется, для гармонической - уровень шума меньше!

Умный, хитрый алгоритм ПВОС

Взглянем на спектр входа и выхода компенсационного канала.

20160405 JS 100dB compens channel harm Nbr 10.png 20160405 JS 100dB compens channel band Nbr 10.png

Оказывается, временной фильтр давит шумы в компенсационном канале!!! Т.е. в данном случае прикидывается ФНЧ и выделяет помеху, попутно доворачивая фазу гармоники. В результате помеха компенсируется, а уровень шума - уменьшается.

Посмотрим при 50 временных отводах.

20160405 JS 100dB compens channel harm Nbr 50.png 20160405 JS 100dB compens channel band Nbr 50.png

"Главный лепесток" стал уже!

Также, теория гласит, что при увеличении числа каналов, уровень шума на выходе приближается к уровню на входе. Зависимость дисперсии выходного процесса от числа каналов при 10 и 50 отводах.

20160405 Dout Nbr 10.png 20160405 Dout Nbr 50.png

Для гармонической помехи уровень шума на выходе меняется незначительно.

[ Хронологический вид ]Комментарии

(нет элементов)

Войдите, чтобы комментировать.

Персональные инструменты
Пространства имён

Варианты
Действия
SRNS Wiki
Рабочие журналы
Приватный файлсервер
QNAP Сервер
Инструменты